欢迎进入南京郎顿机床制造有限公司官方网站!

全国热线电话:

025-57266338

产品系列

Product Center

折弯机 压力机 弯管机 冲剪机 其他机床 生产设备 剪板机 卷板机

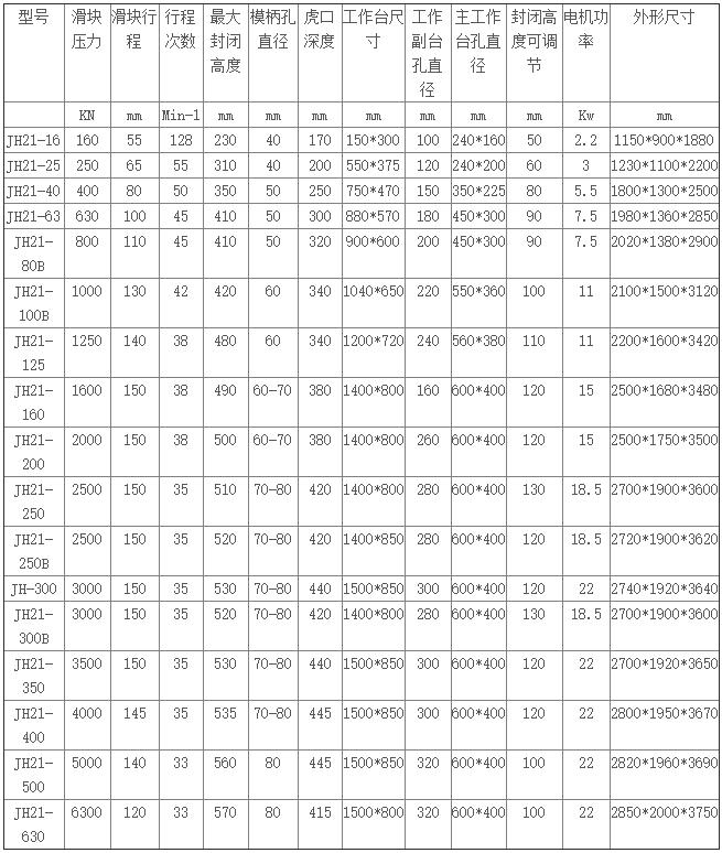
JH21系列开式固定台压力机

在线订购  全国热线:025-57266338
JH21系列开式固定台压力机

2.jpg